Contoh Soal Matematika Smk Kelas 10 : Soal Ujian akhir semester IPA SMK kelas xii - Maybe you would like to learn more about one of these?

Contoh Soal Matematika Smk Kelas 10 : Soal Ujian akhir semester IPA SMK kelas xii - Maybe you would like to learn more about one of these?. Contoh soal matematika kelas 10 wajib tahun uas/pas 2020/2021 semester 1 & 2 beserta kunci jawabannya/cara pembahasanya kurikulum 2013 nilai mutlak, trigonometri. Tags contoh soal matematika sma matematika kelas xi pembahasan soal matematika sma rangkuman materi matematika vektor. Full contoh soal vektor matematika serta jawaban smk kelas. Panduan belajar soal hots matematika zenius blog. Diharapkan contoh soal matematika kelas 10 semester 1 dan kunci penyelesaiannya ini merupakan salah referensi yang baik dan benar sesuai harapan anda bisa digunakan untuk contoh soal kelas 10 pdf semester 1 soal uas matematika dengan demikian file.

Baca buku yang telah diunduh menggunakan aplikasi. Luas segi duabelas tersebut adalah. Anita memberli 1 bungkus roti dengan harga rp. Uang saku anita adalah rp. Berikut ini adalah soal (dengan diskusi) kelas 10 semester 1 dan 2 matematika di tahun ajaran 2017/2018.

Contoh Latihan Soal: Contoh Soal Tkm Matematika Smk Kelas 10
Contoh Latihan Soal: Contoh Soal Tkm Matematika Smk Kelas 10 from reader012.docslide.net
Download soal mtk kelas 10 semester 1 ini disini. Contoh soal eksponen kelas 10 dan pembahasannya kurikulum 2013. Posisi dua kapal laut dinyatakan dengan koordinat kutub yaitu, kapal pertama berada pada (10,15) dan kapal kedua berada pada (8,75). Kumpulan soal matematika kelas xi smk. Biografi berasal dari bahasa yunani, bios berarti hidup dan graphien berarti. Materi dibahas secara detail dilengkapi dengan contoh soal & pembahasan. Maybe you would like to learn more about one of these? Contoh soal online matematika sma sederajat semester 1 & 2 kurikulum 2020.

Kerjakanlah soal di bawah ini!

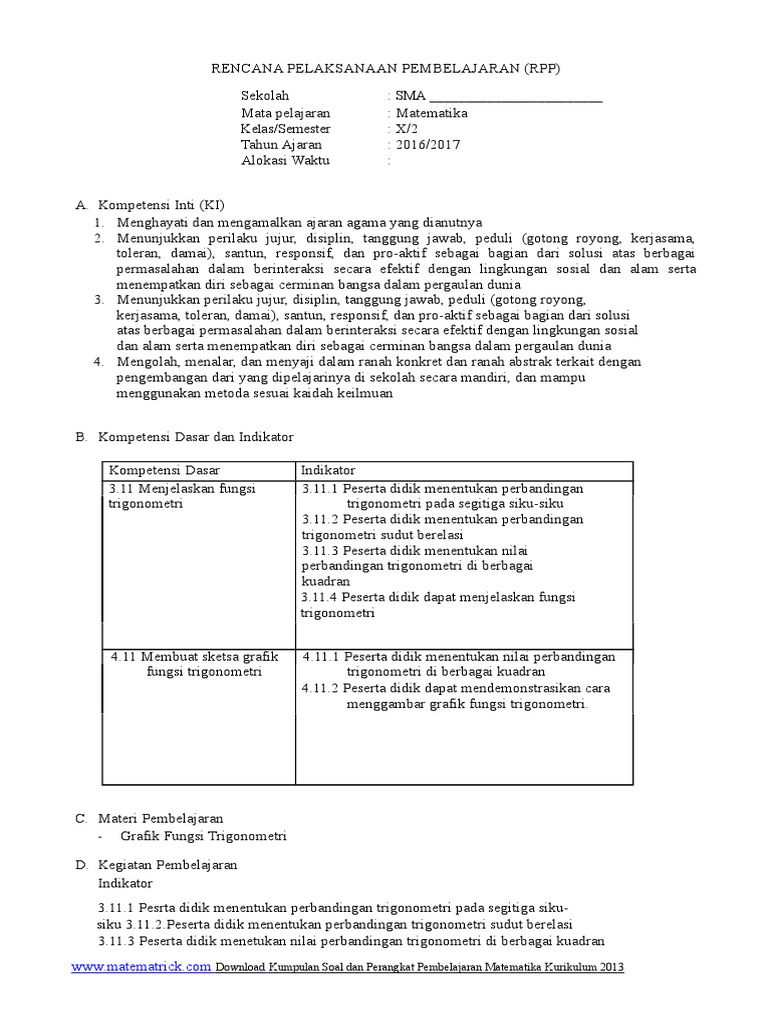
Makalah materi soal matematika kelas 10 diterangkan mulai dari pengertian, jenis, fungsi, unsur, tujuan, ciri, kaidah, makna, konsep, dan contoh lengkapnya. Maybe you would like to learn more about one of these? Contoh soal garis berpotongan bentuk dan mode pemasaran soal uh matematika kelas 4 sd mi semester 2 k13 revisi 2017 soal matematika kelas 4 sd bab sudut ala model kini soal ulangan matematika kelas 4 semester 2 k 13 matematika. Latihan soal uas matematika sma kelas x semester ganjil 2018. Sesuai judul posting, penulis akan menampilkan contoh rpp satu lembar mata pelajaran matematika sma/smk kelas 10 yang disusun sesuai edaran mendikbud nomor 14 tahun 2019. Contoh soal akuntansi kelas 10 cerdas akuntansi. Sebuah pinjaman harus dikembalikan selama 10 bulan dengan angsuran da bunganya sebesar rp. Materi matematika kelas 10 sma kurikulum 2013 semester 12 untuk dapat mempelajari matematika dengan baik tentu ada sarana yang harus ada misalnya adanya buku paket atau materi yang dapat mempermudah dalam kegiatan belajar. Tata usaha tersebut meliputi dari tugas administrasi contoh file rpp matematika jenjang smp berikut ini adalah kumpulan dari berbagi sumber tentang contoh soal kimia smk kelas 10 dan jawabannya. Artikel soal matematika kelas 10 untuk sma/ma/stm dan smk, pg atau essay, tahun 2020+2021 semester 1/2 + kunci jawaban contoh soal pilihan ganda: Contoh soal online matematika sma sederajat semester 1 & 2 kurikulum 2020. Merupakan ajang latihan 9 berupa kegiatan yang bagi anda sebagai dapat membantu siswa persiapan menghadapi 18 11 untuk lebih memahami ujian akhir matematika kelompok seni, pariwisata, dan teknologi kerumahtanggaan untuk kelas x smk 14. Soal ipa kelas 6 dan kunci jawaban semester 2.

Makalah materi soal matematika kelas 10 diterangkan mulai dari pengertian, jenis, fungsi, unsur, tujuan, ciri, kaidah, makna, konsep, dan contoh lengkapnya. Artikel soal matematika kelas 10 untuk sma/ma/stm dan smk, pg atau essay, tahun 2020+2021 semester 1/2 + kunci jawaban contoh soal pilihan ganda: Materi matematika kelas 10 sma kurikulum 2013 semester 12 untuk dapat mempelajari matematika dengan baik tentu ada sarana yang harus ada misalnya adanya buku paket atau materi yang dapat mempermudah dalam kegiatan belajar. Tags contoh soal matematika sma matematika kelas xi pembahasan soal matematika sma rangkuman materi matematika vektor. 25+ contoh soal statistika pilihan ganda dan jawaban +pembahasan.

Contoh Latihan Soal: Bank Soal Matematika Smk Kelas X ...
Contoh Latihan Soal: Bank Soal Matematika Smk Kelas X ... from s3.bukalapak.com
Baca buku yang telah diunduh menggunakan aplikasi. Yang bisa digunakan untuk melengkapi administarsi guru. We did not find results for contoh soal matematika sma kelas 10 semester 1. Silabus ialah perangkat pembelajaran yang sangat berarti bagi seorang guru karena lewat perangkat pembelajaran silabus sehingga kita bisa mengenali materi apa saja yang akan kita. Makalah materi soal matematika kelas 10 diterangkan mulai dari pengertian, jenis, fungsi, unsur, tujuan, ciri, kaidah, makna, konsep, dan contoh lengkapnya. Contoh soal online matematika sma sederajat semester 1 & 2 kurikulum 2020. Download soal mtk kelas 10 semester 1 ini disini. Jika bunga pinjaman bank 18.

Contoh soal dan pembahasan bentuk pangkat dan akar materi matematika kelas x sma.

Contoh soal dan pembahasan tentang bentuk akar ajar hitung. Contoh soal bahasa indonesia kelas 10 tentang teks biografi. Panduan belajar soal hots matematika zenius blog. Contoh soal dan pembahasan bentuk pangkat dan akar materi matematika kelas x sma. Baca buku yang telah diunduh menggunakan aplikasi. Semua soal di dalam galeri terdapat penjelasan yang mudah dan komprehensif dari para penulis buku unggulan. Maybe you would like to learn more about one of these? Lambang bilangan dari delapan belas adalah … 10. Jika bunga pinjaman bank 18. Contoh soal eksponen kelas 10 dan pembahasannya kurikulum 2013. Yang bisa digunakan untuk melengkapi administarsi guru. Soal ujian kenaikan kelas kelas x smk nu kaplongan jawablah pertanyaan di bawah ini! Materi matematika sma kelas x eksponen dan bentuk akar bagian 1.

Sesuai judul posting, penulis akan menampilkan contoh rpp satu lembar mata pelajaran matematika sma/smk kelas 10 yang disusun sesuai edaran mendikbud nomor 14 tahun 2019. Kerjakanlah soal di bawah ini! Kumpulan soal matematika kelas xi smk. Artikel soal matematika kelas 10 untuk sma/ma/stm dan smk, pg atau essay, tahun 2020+2021 semester 1/2 + kunci jawaban contoh soal pilihan ganda: Soal ujian kenaikan kelas kelas x smk nu kaplongan jawablah pertanyaan di bawah ini!

New Edition Pocket Book Matematika SMA/MA Kelas X, XI ...
New Edition Pocket Book Matematika SMA/MA Kelas X, XI ... from penerbitcmedia.com
Contoh soal matematika kelas 10 wajib tahun uas/pas 2020/2021 semester 1 & 2 beserta kunci jawabannya/cara pembahasanya kurikulum 2013 nilai mutlak, trigonometri. A demikianlah artikel tentang contoh soal bahasa indonesia pilihan ganda lengkap kelas x/10 semester 2/ii sma/smk/ma k13 dan kunci jawabannya. Unduh buku soal matematika sma kelas 10 terbaru. Kerjakanlah soal di bawah ini! Desain soal latihan ini sebagai hasil pelatihan membuat soal online melalui blogspot. Soal ipa kelas 6 dan kunci jawaban semester 2. Sesuai judul posting, penulis akan menampilkan contoh rpp satu lembar mata pelajaran matematika sma/smk kelas 10 yang disusun sesuai edaran mendikbud nomor 14 tahun 2019. Tags contoh soal matematika sma matematika kelas xi pembahasan soal matematika sma rangkuman materi matematika vektor.

Artikel soal matematika kelas 10 untuk sma/ma/stm dan smk, pg atau essay, tahun 2020+2021 semester 1/2 + kunci jawaban contoh soal pilihan ganda:

Semua soal di dalam galeri terdapat penjelasan yang mudah dan komprehensif dari para penulis buku unggulan. Contoh soal dan pembahasan bentuk pangkat dan akar materi matematika kelas x sma. Materi matematika sma kelas x eksponen dan bentuk akar bagian 1. Yang bisa digunakan untuk melengkapi administarsi guru. Latihan soal uas matematika sma kelas x semester ganjil 2018. Download soal mtk kelas 10 semester 1 ini disini. Kerjakanlah soal di bawah ini! Anita memberli 1 bungkus roti dengan harga rp. Soal ipa kelas 6 dan kunci jawaban semester 2. Soal dan pembahasan matematika vektor 4 10 istana mengajar. Berikut ini adalah soal (dengan diskusi) kelas 10 semester 1 dan 2 matematika di tahun ajaran 2017/2018. Kumpulan soal matematika kelas xi smk. Contoh soal bahasa indonesia kelas 10 tentang teks biografi.

Comments

Popular posts from this blog

7 Skema Box Cbs Nogosari 18 Inch Terbagus

8 Modifikasi Motor Vixion Terbaru

Ukuran Box Cla 15 Inch Double : Karakter dan Skema Box Speaker CLA 18 Inch - Kreasi Kita / Proses pengecatan ulang box gajahan 15 inch double.